czerwiec 2015 - podatek tonażowy

Data ostatniej modyfikacji:
2015-07-29
Miniwykład o podatku tonażowym

Podatek tonażowy jest nakładany na dochody właścicieli statków handlowych i pasażerskich uzyskiwane z ich wykorzystania w żegludze międzynarodowej. Jest naliczany w wysokości 19% od dochodów obliczonych w sposób zryczałtowany w zależności od tonażu statku. Podatkiem tym są obłożone statki o pojemności brutto powyżej 100 jednostek. Pojemność brutto (GT od ang. gross tonnage) i pojemność netto (NT od ang. net tonnage) jest obliczana od 1994 roku dla wszystkich statków na świecie według jednakowych zasad. Obie te wielkości są niemianowane, czyli wyrażane są liczbami bez żadnych jednostek. Oględnie rzecz ujmując, pojemność brutto reprezentuje objętość całego statku, a pojemność netto - objętość tej części statku, która może na siebie zarobić, czyli służy do przewozu towarów lub ludzi.

stawka dobowa podatku tonażowego
l.p.  NT statku stawka do obliczania dochodu
1 do 1 000 0,5 euro za każde 100 NT
2  od 1 001 do 10 000  0,35 euro za każde 100 NT powyżej 1 000
3  od 10 001 do 25 000  0,20 euro za każde 100 NT powyżej 10 000
4  od 25 001  0,10 euro za każde 100 NT powyżej 25 000

Dobową stawkę dochodu przelicza się na złotówki według kursu średniego euro (ogłaszanego przez Narodowy Bank Polski) z ostatniego dnia miesiąca, za który stawka jest obliczana. W przypadku braku kursu średniego tego dnia (np. w dniu świątecznym) bierze się ostatni opublikowany kurs w danym miesiącu. W celach obliczeniowych pojemność statku mniejszą niż 50 NT pomija się, a pojemność większą niż 50 NT podwyższa się do pełnych 100 jednostek. Dobową stawkę mnoży się przez liczbę dni w miesiącu i od tego oblicza się 19% podatku tonażowego. Podatek za poprzedni miesiąc przedsiębiorca żeglugowy wpłaca do urzędu skarbowego w terminie do 20 dnia następnego miesiąca. 

Przykład 1. Oblicz wysokość podatku tonażowego za styczeń 2015 należnego od kontenerowca o pojemności netto 2130 jednostek.  

Rozwiązanie. Dobowa stawka dochodu to 10·0,5 + 11·0,35 = 8,85 euro. Styczeń ma 31 dni, więc podatek tonażowy od tego kontenerowca wyniesie 0,19·31·8,85 = 52,1265 euro. Ostatni średni kurs NBP ogłoszony w styczniu 2015 pochodzi z 30.01.2015 i wynosi 4,2081 /euro. Zatem podatek tonażowy od kontenerowca to 52,1265·4,2081 ≈ 219,35 zł.

 

 data  średni kurs euro NBP
30.01.2015 4,2081
27.02.2015 4,1495
31.03.2015 4,0890
30.04.2015 4,0337
29.05.2015 4,1301

[koniec wykładu dla SP]

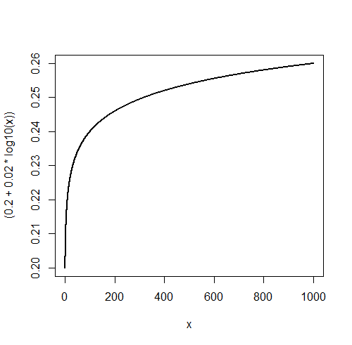
Pojemność brutto statku oblicza się ze wzoru GT = V·(0,2+0,02·log10V), gdzie V to objętość w metrach sześciennych kadłuba i nadbudówek statku bez objętości zbiorników balastowych. Analogicznie oblicza się pojemność netto statku, z tym że w tym przypadku objętość V dotyczy tylko przestrzeni przeznaczonej do przewozu towarów i pasażerów.

Zadania dla SP

Zadanie 1. Oblicz wysokość podatku tonażowego należnego za luty 2015 od wycieczkowca o pojemności netto równej 15 785 jednostek.

Zadanie 2. Armator zajmujący się przewozami pasażerskimi posiada 3 statki pasażerskie o pojemnościach netto równych 1 935, 3 860 i 11 300 jednostek. Oblicz wysokość łącznego podatku tonażowego jaki zapłaci ten armator w maju 2015.

Zadanie 3. W jakim zakresie objętości netto mieści się statek, od którego w kwietniu 2015 armator zapłacił 320 zł podatku tonażowego?

Zadania dla GIM

Zadanie 1. Oblicz miesięczne stawki podatku tonażowego od lutego do maja 2015 płacone przez armatora posiadającego dwa kontenerowce o pojemności netto 27 400 i 19 980 jednostek.

Zadanie 2. Ile wynosi w euro najmniejsza możliwa miesięczna wysokość podatku tonażowego za statek? Jaką objętość netto i brutto ma taki statek?

Zadanie 3. Sporządź wykres pokazujący wysokość dobowej stawki dochodu w zależności od pojemności netto statku w zakresie od 500 do 1 500 jednostek.

Zadania dla LO

Zadanie 1. Oblicz wysokość podatku tonażowego za pierwszy kwartał 2015 od trzech tankowców o pojemności netto 35 000 jednostek każdy.

Zadanie 2. Przedsiębiorca żeglugowy zapłacił w maju 2015 roku 425 zł podatku tonażowego. Oblicz, ile najwięcej statków może liczyć jego flota?

Zadanie 3. Sporządź wykres funkcji f(V) = GT(V)/V, dla 1<V<1000.

 

Wyniki: 
Wyniki uzyskane w SP

 W tym miesiącu punkty zdobyli:

  • 3 pkt. - Jakub Ptak SP 64 Wrocław,
  • 2,5 pkt. - Bartosz Szczerba SP 35 Szczecin,
  • 2 pkt. - Adam Stachelek SP 301 Warszawa,
  • 1,5 pkt. - Natalia Kiszkowiak SP 66 Warszawa,
  • 0,5 pkt. - Roman Zaborowski SP 2 Syców.

Po dziewięciu miesiącach w czołówce Ligi z Matematyki Finansowej dla Szkół Podstawowych znaleźli się (w nawiasach podajemy liczby uzyskanych punktów na 27 możliwych):
I m. - Natalia Kiszkowiak
, Jakub Ptak i Adam Stachelek (24)
II m. -
Bartosz Szczerba (22,5 pkt)
III m. -
Roman Zaborowski (21,5)
IV m. - Kacper Kobyłecki, SP Bolesławiec (15)
V m. - Mieszko Baszczak, SP 301 Warszawa (14).

Gratulujemy!

Wyniki uzyskane w GIM

W tym miesiącu punkty zdobyli:

  • 3 pkt. - Kacper Toczek GM 2 Wołów,
  • 2,5 pkt. - Joanna Lisiowska KZE Warszawa,
  • 1,5 pkt. - Aleksandra Domagała GM 23 Wrocław.

Po dziewięciu miesiącach w czołówce Ligi z Matematyki Finansowej dla Gimnazjów znaleźli się (w nawiasach podajemy liczby uzyskanych punktów na 27 możliwych):
I m.
- Joanna Lisiowska
(20,5)
II m. -
Kacper Toczek (20,25)
III m. -
Aleksandra Domagała (19)
IV m. - Jakub Czerniak, GM 5 Opole (8,5).

Gratulujemy!

Wyniki uzyskane w LO

W tym miesiącu punkty zdobyli:

  • 3 pkt. - Tomasz Stempniak I LO Ostrów Wielkopolski,
  • 2 pkt. - Daria Bumażnik II LO Jelenia Góra i Wojciech Wiśniewski I LO Giżycko,
  • 0,5 pkt. - Kinga Kurzawa ZS w Ostrzeszowie i Dominika Nowak ZS
    Ostrzeszów.

Pozostałym uczestnikom Ligi nie przyznano punktów.  

Po dziewięciu miesiącach w czołówce Ligi z Matematyki Finansowej dla Szkół Ponadgimnazjalnych znaleźli się (w nawiasach podajemy liczby uzyskanych punktów na 27 możliwych):
I m. -
Tomasz Stempniak
(24)
II m. - 
Daria Bumażnik (17,5)
III m. - Wojciech Wiśniewski (15,25)
IV m. - Kinga Kurzawa i Dominika Nowak (12,5)
V m. - Anna Jakubczak, ZS Ostrzeszów (10).

Gratulujemy!

 

Odpowiedzi: 
Odpowiedzi dla SP

Zad. 1. Dobowa stawka dla tego wycieczkowca to 10·0,5+90·0,35+58·0,2 = 48,10 euro. Stąd podatek tonażowy za luty 2015 wyniósł 0,19·28·48,1·4,1495 ≈ 1061,82 zł.

Zad. 2. Dobowa stawka dla każdego ze statków to odpowiednio 10·0,5+9·0,35 = 8,15 euro, 10·0,5+29·0,35 = 15,15 euro i 10·0,5+90·0,35+13·0,2 = 39,10 euro. Podatek tonażowy za trzy statki za maj 2015 wyniósł więc 0,19·31·(8,15+15,15+39,1)·4,1301 ≈ 1517,96 zł.

Zad. 3. Dobowa stawka w euro to 320:(0,19·4,0337·30) ≈ 13,9178. Odejmując od tego stawkę w euro za statek o pojemności netto równej 1000 jednostek, dostajemy 13,9178-10·0,5 = 8,9178 euro, czyli w w drugim przedziale do obliczania dobowych stawek mieści się 8,9178/0,35 ≈ 25,4794 setek pojemności netto statku. Jednak nie jest to liczba całkowita, więc taki statek nie istnieje. Dla potwierdzenia sprawdźmy dwa przedziały pojemności netto: [3450, 3549] i [3550, 3649]. Za statki z pierwszego przedziału płaciło się w kwietniu 2015 podatek tonażowy w wysokości 316,14 zł, a z drugiego przedziału - 324,19 zł.

Odpowiedzi dla GIM

Zad. 1. Dobowa stawka w euro za te statki to odpowiednio 68,90 i 56,50. Miesięczny podatek tonażowy za oba te statki w miesiącach od lutego do maja 2015 wynosił odpowiednio: 2768,25 zł, 3020,16 zł, 2883,21 zł i 3050,52 zł.

Zad. 2. Najmniejszy podatek w euro zapłaci się zawsze w lutym, bo ten miesiąc ma najmniej dni. Dla statków o pojemności brutto GT większej niż 100 jednostek i pojemności netto nie mniejszej niż 50 i nie większej niż minimum(149, GT statku) podatek ten wynosi 0,19·0,5·28 = 2,66 euro. Oczywiście od statków mniejszych nie zapłacimy w ogóle podatku tonażowego.

Zad. 3. Z powodu zaokrąglania pojemności netto wykres ma kształt schodkowy. Do pojemności netto równej 1049 schodki mają "wysokość" 0,5 euro, a dla większych argumentów - 0,35 euro.

 Wykres do zadania 3.

Odpowiedzi dla LO

Zad. 1. Dobowa stawka dla jednego tankowca w euro to 76,50 euro. Za pierwszy kwartał 2015 roku podatek tonażowy od trzech tankowców wynosi 16 281,94 zł.

Zad. 2. Gdyby armator posiadał 35 statków, każdy o pojemności netto między 50 a 149 jednostek oraz o pojemności brutto większej niż 100 jednostek, to w maju 2015 zapłaciłby podatek tonażowy w wysokości 0,5·35·0,19·31·4,1301 ≈ 425,71 zł. Oznacza to, że może on mieć mniej niż 35 statków objętych stawką dobową 0,5 euro za każdy. Ponadto może mieć dowolną liczbę mniejszych statków zwolnionych z podatku tonażowego.

Zad. 3. Wykres przedstawiono na diagramie poniżej.

Wykres do zadania 3.

 

Powrót na górę strony