Zad. 1. Kiedy wprowadzono po raz pierwszy system oświaty publicznej: a) na świecie,
b) w Polsce? Jak ten system w Polsce wyglądał?
Zad. 2. Reforma systemu oświaty z 1999 roku (tzw. reforma Handtkego) wprowadziła gimnazja (3-letni etap edukacji średniej pomiędzy 6-letnią szkołą podstawową a 3-letnim liceum, szkołą zawodową lub 4-letnim technikum). Gimnazja całkowicie zlikwidowano po 20 latach w roku 2019. Nie był to jednak pierwszy raz, kiedy gimnazja pojawiły się w systemie polskiej edukacji. Kiedy pojawiły się po raz pierwszy i jak wówczas funkcjonowały w systemie oświatowym?
Zad. 3. Józef Höene-Wroński znany jest m. in. z tego, że w połowie XIX w. pisał listy do władców Europy, instruując ich, jak powinni sprawować rządy. Listy te zawierały dokładne wzory matematyczne. Podaj wzory opisujące stopień wolności politycznej oraz despotyzmu władzy w danym kraju. Zastosuj je do obecnej sytuacji w Polsce, przyjmując dane liczbowe zgodne z podziałem miejsc w polskim sejmie. Współczynniki odchyleń podaj wg własnej oceny, a jeśli nie masz na ten temat zdania, przyjmij, że są maksymalne (tzn. równe 1).
W tym miesiącu punkty zdobyli:
- 2,5 - Bolesław Mokrski - emertytowany nauczyciel matematyki z Przyszowic,
- 2,25 - Krystyna Lisiowska - redaktor z Warszawy,
- 2 - Daria Bumażnik - studentka chemii i toksykologii sądowej na UWr.
Zad. 1. a) Do najwcześniejszych form zorganizowanej oświaty w Europie (w tym w Polsce) można zaliczyć tworzone w XI i XII wieku szkoły katedralne i kolegiackie przy siedzibach biskupich, jednak nie były one powszechne i nie tworzyły spójnego systemu.
Pierwsze próby wprowadzenia obowiązku szkolnego zawierają przepisy księstw: Weimarskiego (1619), Gotajskiego (1642), Brandenburgii i Prus (1698).
W 1647 roku kolonialne władze stanu Massachusetts uchwaliły pierwszą ustawę dotyczącą organizacji oświaty (chociaż pierwsze rozporządzenia oświatowe w tym stanie wydano jeszcze w roku 1642 - odpowiedzialność za umożliwienie dzieciom nauki czytania i przygotowania ich do zawodu spoczywała na rodzinie, ale jeśli ta nie umożliwiła dziecku nauki, trafiało ono na warsztaty przygotowujące do wykonywania określonego rzemiosła). Ustawa z 1647 zobowiązywała wszystkie miasta składające się z co najmniej 50 rodzin do zatrudnienia nauczyciela nauczającego czytania, natomiast miasta składające się z ponad 100 rodzin - do organizacji własnej szkoły średniej ogólnokształcącej. Wkrótce podobne zarządzenia wydano w Nowej Anglii i koloniach środkowego Atlantyku.
Pierwszy system powszechnej edukacji (zbliżony do dzisiejszego) skutecznie wprowadził dopiero na początku XIX wieku na fali industrializacji król Prus Fryderyk Wilhelm III Hohenzollern na fali powszechnej industrializacji. Jego realizację powierzył Karlowi vom Stein z Altenstein, który stanął na czele nowopowstałego (w 1817) Ministerstwa do Spraw Wyznań i Oświaty. Utworzono wówczas szkoły trzech stopni (ludowe, średnie i uniwersytety). Były to szkoły państwowe (szkolnictwo prywatne zdelegalizowano) z odgórnie narzuconym programem nauczania i zestawem lektur obowiązkowych. Wprowadzono obowiązek szkolny w szkołach ludowych, ale jakość nauczania w nich nie była wysoka, gdyż nauczycielami byli zazwyczaj weterani wojenni. Program składał się z nauki rachunków, pisania i czytania, z odrobiną historii. Nie chodziło o to, by (jak do tej pory) niewielu ludzi posiadało dużą wiedzę, lecz by szerokie rzesze ludności dysponowały podstawowymi umiejętnościami i wiadomościami. W szkołach średnich wprowadzono maturę, która miała otwierać drogę na uniwersytety oraz do służby wojskowej, państwowej i urzędniczej.Wkrótce inne kraje (zwłaszcza habsburskie) podjęły próby naśladowania pruskich rozwiązań w dziedzinie powszechnej oświaty.
b) Pierwszy system oświaty publicznej w Polsce zaczęto wprowadzać w 1783 roku, jednak z powodu utraty niepodległości działania te zostały przerwane w 1795. Zajmowała się tym Komisja Edukacji Narodowej - pierwsza w Europie centralna państwowa władza oświatowa utworzona w 1773 po kasacie zakonu jezuitów. Przejęła ona zwierzchnictwo nad dawnymi kolegiami jezuickimi (zalążkami przyszłych uniwersytetów) i licznymi szkołami zakonnymi i parafialnymi. Na mocy ustaw KEN z 1783 stworzono system szkół parafialnych (przeznaczonych dla stanów niższych - chłopów i mieszczan), państwowych szkół średnich (wydziałowych i podwydziałowych) oraz dwóch zreformowanych akademii (Krakowskiej i Wileńskiej) nazywanych szkołami głównymi, które nadzorowały szkolnictwo niższych szczebli. Nowy program szkół średnich zawierał język polski jako wykładowy, nauki przyrodniczo-fizyczne, matematykę, elementy prawa i naukę moralną opartą na prawie naturalnym, natomiast ograniczał łacinę i lekturą pism autorów klasycznych. W 1775 KEN powołała Towarzystwo do Ksiąg Elementarnych, które opracowało wiele podręczników, regulaminów i rozporządzeń. Wprowadzono też podział kraju na 10 wydziałów (6 w Koronie i 4 na Litwie), które stanowiły pierwszy w historii przypadek wydzielenia okręgów administracyjnych w zakresie szkolnictwa. Komisja zajęła się także kwestiami kształcenia nauczycieli oraz problemami wychowania młodzieży i organizacji pracy szkół.
Po rozwiązaniu KEN w Księstwie Warszawskim oświatą zarządzała utworzona w 1807 roku Izba Edukacji Publicznej, która ustawą z 12 I 1808 wprowadziła szkoły miejskie i wiejskie elementarne oraz po raz pierwszy na ziemiach polskich obowiązek szkolny (jednak wobec braku odpowiedniej liczby szkół faktycznie nie wszedł on w życie). Celem Izby Edukacyjnej był przede wszystkim rozwój szkolnictwa elementarnego, dlatego na społeczności lokalne nałożono obowiązek ich tworzenia i finansowania. W 1810 roku powstało Towarzystwo Elementarne (z Samuelem Lindem na czele), którego zadaniem było opracowanie podręczników szkolnych. Obowiązek szkolny został też wprowadzony przez pozostałych zaborców: w 1825 w Wielkopolsce i na Pomorzu, a w 1873 w Galicji, jednak był realizowany nierównomiernie (w największym zakresie pod zaborem pruskim).
Skutecznie jednolity system oświaty publicznej w Polsce wprowadzono bardzo późno, co było efektem 123-letniej niewoli, a następnie konieczności scalenia i uporządkowania systemów w różnych zaborach. Był to dość długi proces i ostatecznie dokonano tego dopiero w 1932 roku.
Początkowo uporządkowano szkolnictwo powszechne na mocy dekretu Naczelnika Państwa z 7 II 1919 o obowiązku szkolnym, który wprowadził m.in. obowiązkową, bezpłatną, 7-klasową szkołę powszechną (dla dzieci w wieku 7-14 lat). Kolejne akty prawne z lat 1919-1931 próbowały uporządkować szkolnictwo średnie. Wprowadzono 8-letnie gimnazja (dla uczniów w wieku 10-18 lat) z podziałem na dwa stopnie: trzy lata gimnazjum niższego i pięć lat gimnazjum wyższego. Naukę w szkole podstawowej można było przerwać po czwartej klasie i kontynuować w gimnazjum niższym pod warunkiem zdania egzaminu wstępnego (który często wykraczał poza program nauczania w
klasach 1-4 szkoły podstawowej, dlatego tworzono przy gimnazjach tzw. klasy przedwstępne, mające przygotować do tego egzaminu). Egzamin do gimnazjum (niższego lub wyższego) można było zdawać także po nauczaniu domowym. Gimnazja niższe były ogólnokształcące, a gimnazja wyższe - profilowane w trzy typy: humanistyczne, matematyczno-przyrodnicze i klasyczne (z nauczaniem greki i łaciny). Gimnazjum wyższe kończyło się egzaminem maturalnym, który był podstawą przyjęcia na studia wyższe (bez egzaminu wstępnego). Szkolnictwo państwowe średnie i wyższe (czyli edukacja ponad obowiązek szkolny) było wówczas płatne. Oczywiście obok szkół publicznych istniały szkoły prywatne (w tym dla mniejszości narodowych), jednak bez prawa nadawania matury (organizowano tam egzaminy zewnętrzne wizytowane przez przedstawiciela kuratorium).
Ostateczna unifikacja szkolnictwa średniego nastąpiła na mocy ustawy Sejmu II RP z 11 III 1932 tzw. ustawy jędrzejewiczowskiej (od nazwiska jej twórcy Janusza Jędrzejewicza, ówczesnego ministra wyznań religijnych i oświecenia publicznego, z wykształcenia matematyka). Zapisy tej ustawy obowiązywały do 1948 roku, kiedy zostały zniesione przez władze PRL. W ustawie utrzymano obowiązek szkolny na szczeblu 7-letniej szkoły powszechnej, przy czym ostatnia klasa była przeznaczona tylko dla uczniów niekontynuujących nauki. Szkoły powszechne podzielono na placówki I, II i III stopnia i tak np. 7-letnia szkoła powszechna pierwszego stopnia (organizowana głównie na wsiach) realizowała program tylko 4 klas i nie dawała uprawnień do podejmowania nauki w gimnazjum. Zreformowano gimnazja, przekształcając je w szkoły 6-letnie (zlikwidowano pierwsze dwie klasy), kolejne cztery stały się klasami nowego 4-letniego gimnazjum, a dwie końcowe stały się klasami 2-letniego liceum ogólnokształcącego. Warunkiem przyjęcia do 4-letniego gimnazjum było ukończenie 12 lat i zdanie egzaminu z programu sześciu klas szkoły powszechnej. Nauka w gimnazjum nie była profilowana i kończyła się świadectwem ukończenia gimnazjum nazywanym potocznie małą maturą, które umożliwiało dalsze kształcenie w dwuletnim liceum (ogólnokształcącym lub zawodowym) albo trzyletnim liceum pedagogicznym. Licea ogólnokształcące były elitarne i profilowane. Do wyboru były profile: klasyczny (z łaciną i greką), humanistyczny (z samą łaciną), matematyczno-fizyczny oraz przyrodniczy (dwa ostatnie bez języków starożytnych). Absolwenci przystępowali do egzaminu dojrzałości, tzw. dużej matury, która umożliwiała rozpoczęcie studiów w szkole wyższej. W polskim systemie edukacyjnym pojawiły się wówczas po raz pierwszy szkoły zawodowe (dostępne po szkole powszechnej, a także po gimnazjum - licea zawodowe - umożliwiające wstęp na wyższe uczelnie). Ustawa jędrzejewiczowska nie miała istotnego znaczenia dla przedwojennej oświaty, gdyż ośmioletnie gimnazja sprzed reformy były wygaszane stopniowo, więc pierwsi absolwenci zreformowanego liceum otrzymali świadectwa dojrzałości na koniec roku szkolnego 1938/1939.
Zad. 2. Słowo gimnazjum tradycyjnie oznacza humanistyczną szkołę średnią o profilu klasycznym (podstawę nauczania stanowiły języki starożytne: łacina, greka, hebrajski oraz lektura dzieł starożytnych mistrzów). Szkoły takie zaczęły powstawać w XVI wieku w wyniku reformacji religijnej jako przeciwwaga dla katolickich szkół katedralnych. Czas trwania nauki wynosił w nich od 4 do 12 lat (dodatkowe lata nauki pozwalały na osiągnięcie statusu gimnazjów akademickich z klasami o programach zbliżonych do uniwersyteckich, zresztą wiele z tych szkół z czasem przekształciło się w uniwersytety).
W 1538 roku Johannes Sturm (wówczas luteranin) założył w Strasburgu humanistyczną szkołę średnią o profilu klasycznym, zwaną gimnazjum Sturma. Kierował nią oprzez 44 lata (do przejścia na kalwinizm). Nauka trwała w niej 10 lat. Sturm wzorował się na szkole, do której sam uczęszczał w belgijskim Liege, gdzie dokładnie poznał niderlandzką organizację szkolną, stosowany w niej podział uczniów na klasy i zwyczaj opracowywania dla każdej z nich odrębnego programu. Gimnazjum Sturma cieszyło się wielką popularnością, ściągając tysiące uczniów z różnych krajów, w tym szlachecką młodzież z Polski (m.in. Drohojskich, Latalskich, Konarskich, Ostrorogów), kształcił się tu również przyszły hetman i wielki kanclerz koronny - Jan Zamoyski.
Opracowany przez Sturma model klasycznego gimnazjum powielany był w szkołach luterańskich i kalwińskich w wielu krajach Europy (np. słynne Gimnazjum Genewskie powołane w 1559 przez Kalwina) i Ameryki, wykorzystali go także jezuici, przyjmując wiele rozwiązań jako podstawę organizacji swojego szkolnictwa. W efekcie tego na obszarze XVI-wiecznej Polski powstało wiele szkół wzorowanych na gimnazjum Struma. Najstarszym było luterańskie Gimnazjum w Elblągu założone jeszcze w 1535 roku. Sławę zyskały też inne luterańskie gimnazja na Pomorzu, m.in.:
- Gimnazjum w Gdańsku (zał. 1558 jako 4-klasowe, rozszerzone w 1580 do 6-klasowego, które działało do 1817 pod nazwą Gdańskie Gimnazjum Akademickie),
- Gimnazjum w Toruniu (zał. 1568 jako 6-klasowe rozszerzone w 1594 do 12-klasowego i działające do 1793 jako Toruńskie Gimnazjum Akademickie).
Szkoły te podupadły w XVII w. podczas wojen szwedzkich.
Najstarszym gimnazjum kalwińskim w Polsce było Gimnazjum w Pińczowie utworzone w 1551 roku z fundacji rodziny Oleśnickich. Kolejne to m. in. gimnazja w:
- Krakowie, Łańcucie, Bychawie, Kocku, Bełżycach, Chmielniku, Wilnie (na ogół okres ich działalności był krótki, zwykle upadały ze śmiercią fundatora), najdłużej utrzymały się: Gimnazjum w Kiejdanach (do 1824) i Gimnazjum w Słucku (do 1914),
- ariańska Szkoła w Lenartowie (przekształcona z kalwińskiej) działająca w latach 1588-1597.
Gimnazja funkcjonowały w Polsce do XVIII wieku. Działały również w XIX wieku na ziemiach polskich w systemach oświatowych państw zaborczych (z językiem nauczania rosyjskim lub niemieckim) oraz w dwudziestoleciu międzywojennym w niepodległej Rzeczypospolitej. Ich działanie zostało przerwane przez II wojnę światową. Ostatecznie gimnazja zostały zlikwidowane (po raz pierwszy) w 1948 roku.
Odpowiedź "Gimnazjum Mariackie w Szczecinie" nie była uznawana za poprawną. Szkoła powstała co prawda w 1390 roku, ale była wówczas typową szkołą parafialną. Nazwę "gimnazjum" uzyskała dopiero w 1642 roku, a w 1667 król szwedzki nadał jej tytuł Gymnasium Carolinum.
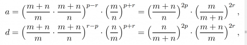
Zad. 3. Przykłady wzorów Höene-Wrońskiego z "Sekretnego listu do Jego Wysokości Księcia Ludwika Napoleona" z 1851 roku, gdzie a to stopień anarchii w kraju, a d - stopień despotyzmu władzy.

gdzie:
m - liczba członków partii liberalnej, p - odchylenie filozofii tej partii od prawdziwej religii,
n - liczba członków partii religijnej, r - odchylenie tej partii od prawdziwej filozofii.
Wroński uważał, że dla ówczesnej Francji należało przyjąć p=r=1, natomiast m/n wynosiło 2. Wtedy a=4 a d=1/4. Oznacza to, że wolność polityczna była czterokrotnie większa od normalnej, a powaga władzy stanowiła czwartą część władzy koniecznej.
Przykładowe dane i obliczenia dla współczesnej Polski:
- liczba członków partii liberalnej m = 185 (Koalicja Obywatelska, Lewica),
- odchylenie filozofii partii liberalnej od prawdziwej religii p=1,
- liczba członków partii religijnej n = 275 (PiS, Solidarna Polska, Porozumienie, PSL, Konfederacja, Kukiz'15),
- odchylenie partii religijnej od prawdziwej filozofii r = 1.
- a = (185/275)2 ≈ 0,45,
- d = (265/195)2 ≈ 2,21
Według Wrońskiego oznacza to, że wolność polityczna jest w Polsce prawie dwukrotnie mniejsza od normalnej, a stopień despotyzmu władzy stanowi dwukrotność władzy koniecznej.